2-Dimensionale meetkunde: punten en lijnen: Lijnen
Zwaartepunt van een driehoek
Laat #ABC# een driehoek in het vlak zijn.
De lijn die #C# met het midden van het lijnstuk #AB# verbindt, heet de zwaartelijn van #ABC# door #C#.
Vanzelfsprekend zijn er ook zwaartelijnen van #ABC# door #A# en door #B#.
De drie zwaartelijnen van een driehoek snijden elkaar in één punt, namelijk #\frac{1}{3}\left(A+B+C\right)#.
Dit punt heet het zwaartepunt van de driehoek.
Voor het interpreteren van de lineaire combinatie van punten die gegeven wordt om het snijpunt te beschrijven, kun je de punten opvatten als vectoren.
Een parametervoorstelling van de zwaartelijn van #ABC# door #A# is #A+\lambda \left(B+C-2A\right)#. Voor de richtingsvector nemen we normaal gesproken het verschil tussen de eindpunten #\frac{1}{2}(B+C)# en #A#, maar hier hebben we die richtingsvector met de scalar #2# vermenigvuldigd om de breuken weg te werken.
Net zo vinden we de parametervoorstelling #B+\mu \left(A+C-2B\right)# van de zwaartelijn van #ABC# door #B#.
Deze twee lijnen snijden elkaar in het punt met parameterwaarden #\lambda# en #\mu# die voldoen aan #A+\lambda\left(B+C-2A\right)=B+\mu \left(A+C-2B\right)#. Brengen we alle termen naar links, dan krijgen we \[\left(1-2\lambda-\mu\right)\cdot A+\left(\lambda-1+2\mu \right)\cdot B+\left( \lambda-\mu\right)\cdot C = \vec{0}\tiny.\]Als we de scalars vóór de drie punten #A#, #B# en #C# gelijk aan nul stellen, krijgen we drie lineaire vergelijkingen met de twee onbekenden #\lambda# en #\mu#. Deze vergelijkingen hebben een oplossing: #\lambda = \mu = \frac{1}{3}#. Deze oplossing hoort bij het snijpunt #A+\frac{1}{3}\left(B+C-2A\right) = \frac{1}{3}\left(A+B+C\right)#. Omdat #A# niet op de zwaartelijn door #B# ligt, vallen de zwaartelijnen niet samen en is het gevonden punt het enige snijpunt.
Een parametervoorstelling van de zwaartelijn van #ABC# door #C# is #B+\nu \left(A+B-2C\right)#. Het punt met parameterwaarde #\nu=\frac{1}{3}# is het snijpunt van de twee andere zwaartelijnen. Ze gaan dus inderdaad door één punt.
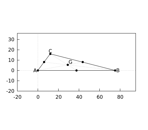
Immers, het zwaartepunt is het punt \[\frac{1}{3}\left(A+B+C\right) = \frac{1}{3} \cdot \rv{75+12,16} = \rv{29,{{16}\over{3}}} \tiny.\]In onderstaande figuur is de driehoek #ABC# getekend, tezamen met de drie zwaartelijnen, die gestippeld zijn, en het zwaartepunt, dat met #G# aangegeven is.

omptest.org als je een OMPT examen moet maken.